В Нижнем Новгороде опубликовали обновленный проект планировки и межевания территории для строительства нового ЖК на Гребном канале. Возведением комплекса, в состав которого войдут многоквартирные и частные дома, социальная и инженерная инфраструктура, займется московский застройщик «Левел АП», входящий в Level Group. Документация для комплексного развития территории (КРТ) утверждена региональным Минградом.
Проект планировки подготовлен для территории площадью 59,2 га. Она расположена напротив домов № 321 в Слободе Печеры — № 533 в Слободе Подновье: ранее часть этого участка занимала лодочная станция «Турист». Разработкой документации для строительства ЖК занималась компания «Золотое сечение».
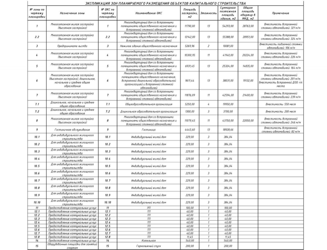
В состав жилого комплекса от Level Group войдут семь многоквартирных домов высотой 11–13 этажей. Их суммарные поэтажные площади составят 25 324 — 55 388 «квадратов». Во всех домах предусмотрены подземные или встроенные стоянки на 106 — 324 машино-места. Также в одном из них запроектировали встроенный детский сад на 44 воспитанника.
Еще в квартале появятся двухэтажное нежилое здание общественного назначения со встроенными спортивным залом и стоянкой автомобилей, 13-этажная гостиница со встроенной стоянкой и десять трехэтажных индивидуальных жилых домов площадью 384 кв.м каждый.
За границами КРТ построят еще один детский сад на 200 юных нижегородцев и школу на 550 учащихся. Размещение этих объектов предусмотрено программой комплексного развития социальной инфраструктуры Нижнего Новгорода на 2020 — 2030 годы.
Развивать территорию планируется в одну очередь. Согласно обновленному проекту планировки, в течение четырех лет с даты заключения договора КРТ на Гребном канале появится гидротехническое сооружение, а также технологически связанные с ним сооружения инженерной защиты.
До 2038 года включительно рядом возведут пять многоквартирных домов и нежилое здание общественного назначения. В примечании МКД обозначены как строящиеся. Также на этом этапе планируется строительство распределительного пункта, пяти трансформаторных подстанций, канализационной насосной станции и котельной.
Оставшиеся два многоквартирных дома, гостиница, частные дома, еще три ТП и КНС появятся в жилом комплексе до 29 июля 2040 года. Предельный срок строительства школы и детсада за пределами КРТ — 29 июля 2030 года. Прилегающую территорию в жилом комплексе озеленят и благоустроят. Там обустроят детские площадки, зоны отдыха, места для занятий спортом и открытые стоянки автомобилей.
Отметим, что в изначальном списке планируемых объектов капстроя также значится горнолыжный спуск. Однако при указании очередности строительства в новой документации это спортивное сооружение не фигурирует.
Напомним, что рядом с будущим ЖК от Level Group ведется строительство комплекса «Статус на Гребном канале» от федерального девелопера GloraX. Проект предусматривает возведение 142 000 квадратных метров продаваемой недвижимости на территории более 14 га вдоль берега Волги. Строящийся комплекс относится к премиальному классу, а его отличительной чертой станет собственная марина.
Кстати, в будущемна Гребном канале появится не только жилье, но и гостиницы, глэмпинги, оперный театр, термальный комплекс и многое другое. Как развивается эта территория, читайте в специальном материале на GIPERNN.RU.














